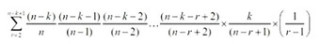
What's that mathematical formula above? Some professor in Australia claims he's "discovered" the "perfect" age to fall in love and get married.
How does it work? It's easy!
1) Choose the oldest age by which you want to get married. This is n; 2) Pick the earliest age at which you'd start to consider a potential spouse. This is p; 3) Subtract p from n, then multiply the result by 0.368; 4) Add this to your minimum age.
Did we mention the "equation" has a 37 percent success rate? Yea, you can probably go ahead and put down your calculator now.
There really is a formula for love [Reuters]
Follow this formula for true love [News.com.au]
